高级持续性威胁与检测技术简述
1. 引言
在当今高度互联的数字化世界中,高级持续性威胁(Advanced Persistent Threat, APT)已成为信息安全领域的主要挑战之一。APT是一种由专业化团队精心策划、长期潜伏且目标明确的网络攻击形式,其目标往往集中在窃取敏感信息、破坏关键基础设施或获取持续的网络访问权限。与传统的网络攻击不同,APT具有隐蔽性强、针对性高和持续性长的特点,使其能够成功视过传统安全防护机制,对组织和个人造成严重威胁。近年来,APT攻击的复杂性和频率显著增加,广泛覆盖从金融机构到政府部门在内的多个关键领域。
近年来,一些显著的APT攻击事件进一步突显了这一威胁的严重性。2020年,SolarWinds Orion平台遭受供应链攻击被攻击者植入恶意代码,造成多个政府部门和企业网络被入侵,持续数月未被发现,最终导致敏感信息的严重泄露。2021年,攻击者利用Microsoft Exchange邮件服务器的漏洞,成功入侵数万个组织的网络,窃取大量敏感信息。这些事件不仅对受害者造成了巨大损失,也引起了全球范围内的关注和警惕。
APT攻击的复杂性和隐蔽性给传统的安全防护带来了巨大挑战。传统的安全防护技术主要依赖于基于规则的检测方法,如防火墙、入侵检测系统(Intrusion Detection System, IDS)和反病毒软件等。这些技术主要基于已知的攻击特征和行为模式进行检测,对于未知的APT攻击往往无法有效识别和防范。因此,研究和开发新的APT检测技术成为当前信息安全领域的重要课题。
本文旨在对高级持续性威胁与检测技术进行简述。首先,我们介绍了APT的概念、特点和攻击模型,分析了APT攻击的生命周期和检测载体。在此基础上,我们详细讨论了APT检测技术,包括行为分析、威胁情报、机器学习和深度学习等方面。最后,我们总结了当前技术的挑战和展望,提出了未来研究的方向和建议。通过本文的简述,我们希望能够为APT检测技术的研究和应用提供参考和启示,促进信息安全领域的发展和进步。
2. 高级持续性威胁
2.1 概念
高级持续性威胁这一术语由美国空军在2006年首次提出, 用于描述任何从事信息战以支撑长期战略目标的复杂的对手。诸多安全机构也对其进行了定义, 美国国家标准与技术研究院(National Institute of Standards and Technology,NIST)对高级持续性威胁的定义是“具有先进专业水平和重要资源的对手”。攻击者的专业技术和资源可以使其通过使用多种攻击载体(如网络、物理和欺骗)创造机会来实现目标, 包括在目标组织的信息技术基础架构内建立和扩展立足点, 以窃取信息, 破坏或阻碍任务、计划或组织的关键方面; 或者计划在未来实现这些目标。
2.2 特点
APT由高级、持续和威胁三个特征定义。“高级”指攻击者有先进的专业知识和大量资源, 能开发特定的工具, 使用多种攻击载体以对目标进行持续的攻击。“持续”指APT攻击持续时间长、频率低。攻击者进入目标系统后不会马上发动攻击, 而是尽可能潜伏在目标系统, 对目标保有长时间的访问权。“威胁”指攻击者意图对目标系统造成损害。
APT攻击者尝试窃取数据、破坏系统服务以获取利益, 这与普通黑客攻击一致。然而, 普通的黑客攻击大多是随机的, 且攻击失败后会迅速切换目标。APT的攻击目标是特定的组织机构, 并且攻击在数月甚至数年内持续不断进行, 并不断适应目标网络的防御措施。其攻击与传统的黑客攻击相比, 具有更高的隐蔽性、针对性和持续性,区别如下:
攻击者:APT攻击者通常是由国家支持的专业团队, 具有先进的技术和资源。他们通常会使用定制的工具和技术, 以适应目标系统的特点。而传统的黑客攻击者通常是个人或小团体, 缺乏专业技术和资源。
攻击对象:APT攻击针对特定的组织或个人, 通常是政府机构、军事机构、金融机构等关键领域。而传统的黑客攻击通常是随机的, 目标广泛, 没有明确的目标。
目的:APT攻击的目的通常是窃取敏感信息、破坏关键基础设施或获取持续的网络访问权限,以实现政治、经济或军事目标。而传统的黑客攻击通常是为了获取利益、破坏系统服务,或者仅仅是为了证明自己的技术能力。
攻击手段:APT攻击通常采用多种攻击载体, 如网络攻击、物理攻击和社会工程攻击等。攻击者会使用多种技术手段, 如漏洞利用、木马程序、恶意软件等, 以适应目标系统的防御措施,并保持持续的访问权限。而传统的黑客攻击通常采用单一的攻击载体, 如网络攻击或恶意软件攻击,维持时间较短。
2.3 APT攻击模型
APT攻击过程高度复杂, 对攻击进行建模是积极主动地识别、分类和描述攻击的过程。攻击模型的建立有助于研究人员理解攻击过程, 了解攻击者在每个阶段使用的技术, 同时也为防范攻击提供了指导。研究人员从攻击步骤、涉及的资源等角度按需对APT攻击进行建模。常见的攻击模型有杀伤链模型、钻石模型、攻击树模型、ATT&CK模型等。下表对以上攻击模型进行了对比。
模型 | 时间 | 优点 | 缺点 |
---|---|---|---|
攻击树模型 | 1995年 | 描述系统可能受到的所有攻击, 直观易于理解 | 攻击之间的依赖性强 |
杀伤链模型 | 2011年 | 描述攻击者如何实现目标, 有助于识别攻击路径 | 无法描述攻击之间的依赖性 |
钻石模型 | 2013年 | 刻画攻击者和攻击目标 | 对人工的依赖性强 |
ATT&CK模型 | 2013年 | 灵活适应不同场景 | 依赖于人工更新 |
2.3.1 杀伤链模型
杀伤链模型是一种描述攻击者如何实现目标的模型。该模型将攻击过程分解为多个步骤, 描述攻击者在每个步骤中使用的技术和资源。杀伤链模型由7个阶段组成, 分别为侦察跟踪、武器构建、载荷投递、漏洞利用、安装植入、命令与控制和目标达成。一条杀伤链代表一次入侵或企图入侵, 一次APT攻击通常由多条杀伤链组成。
杀伤链模型的优点是能够帮助研究人员识别攻击路径, 了解攻击者在每个阶段使用的技术和资源。通过分析杀伤链, 研究人员可以发现攻击者的行为模式,了解攻击者的意图和目标。然而, 杀伤链模型无法描述攻击之间的依赖性, 也无法描述攻击者在不同阶段之间的转换。因此, 研究人员需要结合其他模型, 如攻击树模型和ATT&CK模型, 来全面理解APT攻击。
graph TD;
A[侦察] --> B[武器构建]
B --> C[载荷投递]
C --> D[漏洞利用]
D --> E[安装植入]
E --> F[命令控制]
F --> G[目标达成]
2.3.2 钻石模型
钻石模型是Sergio等人于2013年提出的一种入侵分析模型, 其确立了入侵活动的4个核心元素: 攻击者、基础设施、能力和受害者, 它们分别是“钻石”的四个顶点, 顶点之间的边代表它们之间潜在的关系。元特性包含了非核心但重要的元素, 如时间戳、方法等, 从而支持更高级的分析。Sergio等人还在此基础上加入了社会政治影响和技术两个维度, 提出扩展的钻石模型, 结构如下图所示。

钻石模型针对单个事件分析, 每一起攻击事件都有一个攻击者通过基础设施上的能力对受害者产生影响, 进而达成某种目的。
钻石模型与杀伤链模型是高度互补的。分析APT事件时, 结合钻石模型可使基于杀伤链模型创建的行动路线跨越多个事件, 也可对一组事件进行分析, 提供关键战役指标。
2.3.3 攻击树模型
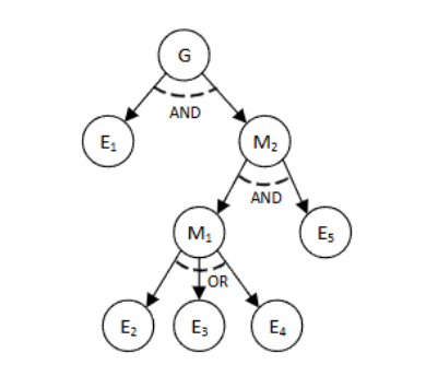
攻击树模型是一种描述系统可能受到的所有攻击的模型。攻击树模型由Ross Anderson于1995年提出, 用于描述攻击者如何利用系统的漏洞和弱点实施攻击。攻击树模型采用树状结构, 从根节点开始描述攻击者的目标, 然后逐步展开描述攻击者如何实现目标。
攻击树及其子树的根节点代表攻击目标, 叶节点代表攻击手法。节点可以根据目标赋予代价、成功概率等属性, 研究人员可据此检测路径中的脆弱点。攻击树模型适合于描述多阶段的网络攻击行为, 攻击目标由一系列子目标通过“AND/OR”关系复合而成。下图为一个攻击树模型示例, 其中G表示攻击目标, E表示攻击手法, M表示攻击的中间步骤。

2.3.4 ATT&CK模型
ATT&CK(Adversarial Tactics, Techniques, and Common Knowledge)模型是由MITRE公司于2013年提出的一种威胁情报框架, 用于描述攻击者的战术、技术和常见知识。ATT&CK模型包含多个矩阵, 每个矩阵描述了不同类型的攻击手法。攻击者可以随意切换策略和技术以实现最终目标。ATT&CK模型在安全领域广受欢迎, 可以用于攻击发现与分析、威胁情报、攻击模拟和评估等。
策略(Tactics)、技术(Techniques)、组织(Groups)和软件(Software)是ATT&CK模型中的四个关键对象, 它们之间的关系如下图。策略是攻击者行动的目标, 如初始入侵、横向移动; 技术是实现策略时需要采取的行动, 如漏洞扫描、暴力破解; 组织介绍了知名黑客组织, 包括基本描述、攻击事件等; 软件是攻击者常用的工具。

ATT&CK模型的优点是灵活适应不同场景, 可根据实际情况进行定制。然而, ATT&CK模型依赖于人工更新, 需要不断更新以适应新的攻击手法和威胁。
2.4 APT攻击的生命周期
一次APT攻击从确定攻击目标起, 需要通过多种手段、利用诸多资源才能成功地达到最终目的。将APT攻击建模为由多个阶段组成的链式模型有助于研究人员分析理解APT攻击。

本文基于杀伤链模型,将APT攻击划分为6个阶段, 分别为侦察准备、外部渗透、命令与控制、横向移动、数据泄露和撤退。从防御者的角度, 对APT攻击阶段重新划分, 细化了易于检测的阶段, 合并了难以检测的阶段, 提出了针对检测防御的攻击模型。
2.4.1 侦察:情报收集
APT攻击通常以侦察为起点。攻击者在锁定目标后,会展开全面侦察,为后续入侵铺平道路。这一阶段通常持续数周甚至数月,主要手段包括网络扫描和社会工程信息收集。
在侦察过程中,攻击者通过扫描获取目标网络和主机的相关信息,或者从社交媒体、公开数据库等渠道收集目标的基础信息。这些信息可能涵盖个人资料(如职业、兴趣、家庭等)、设备细节(如系统版本、开放端口、已知漏洞等)以及组织架构。此外,攻击者还可能运用社会工程技巧,对目标组织成员进行心理操控,以获取更多敏感数据。
完成信息收集后,攻击者会制定攻击计划,并根据目标特点定制攻击工具。这些工具通常包括木马程序、已知漏洞和零日漏洞。
在APT攻击中,已公开的漏洞是最常见的攻击手段。由于用户安全意识不足和软件更新不及时,攻击者能够轻易利用这些漏洞入侵系统。零日漏洞虽然是APT攻击的“王牌武器”,但其挖掘难度大、成本高,且时效性极强,因而使用相对较少。
2.4.2 初始攻击:APT攻击的渗透阶段
在完成侦察并制定详细计划后,APT攻击进入初始攻击阶段,这一阶段的核心目标是通过隐蔽而精准的手段成功渗透目标系统并建立初始立足点。攻击者通常会利用鱼叉式钓鱼邮件作为主要手段,通过伪装成可信内容,诱导目标点击恶意链接或打开携带恶意代码的附件,从而在目标系统中植入木马程序或远程访问工具(RAT)。攻击者也可能通过漏洞利用直接发起攻击,特别是利用侦察阶段发现的系统或软件漏洞,通过恶意网站或文件实现渗透。
在某些情况下,供应链攻击成为一种更加隐蔽的方式,攻击者渗透目标依赖的第三方供应商,将恶意代码嵌入合法的软件更新包或硬件设备中,从而感染目标系统。水坑攻击则是一种间接的渗透手段,攻击者在目标组织成员频繁访问的网站中植入恶意代码,等待目标访问后自动感染其设备。除了技术手段外,攻击者也可能通过社会工程和物理方式,如利用恶意USB设备或假冒技术支持人员,直接对目标系统进行渗透。
完成初始攻击后,攻击者成功在目标系统中建立立足点,为接下来的权限提升、横向移动和数据窃取做好准备。初始攻击阶段的高度隐蔽性使其难以被防御方及时发现,从而为APT攻击后续行动奠定了基础。
2.4.3 权限提升:从初始立足到完全控制
权限提升阶段的核心目标是利用初始访问权限逐步获取更高的系统权限,从而对目标系统实现更深层次的控制,为后续的横向移动、数据窃取和持久驻留提供支持。
在这一阶段,攻击者通常利用多种技术手段来提升权限。其中,最常见的是利用目标系统中存在的本地漏洞或弱点,通过提权工具、代码执行漏洞或配置错误获取管理员权限。例如,攻击者可能利用未打补丁的系统漏洞,通过内核提权攻击将普通用户权限提升到系统管理员权限。此外,凭据窃取也是常用手段,攻击者通过内存抓取工具(如Mimikatz)提取存储在内存中的明文密码、哈希值或安全令牌,进而模拟合法用户身份,绕过权限验证。
在某些复杂的环境中,攻击者也可能通过“传递哈希”或“黄金票据”技术,直接获取对域控制器的完全控制权。同时,利用信任关系的滥用也是一种策略,攻击者通过伪造或劫持数字证书、篡改组策略对象(GPO)等方式,扩大其权限范围并隐藏行动痕迹。
在权限提升的过程中,攻击者通常会采取高度隐蔽的策略,通过删除日志、伪装进程或使用无文件攻击等手段,尽可能规避安全监测系统的发现。一旦权限提升成功,攻击者能够对目标系统的关键资源实施更广泛的操作,包括访问敏感数据、篡改系统配置以及安装后门以确保持久性。
权限提升阶段不仅是攻击者迈向完全控制的重要环节,也是防御方检测APT攻击的重要窗口。如果能够在此阶段发现异常行为并采取应对措施,便可有效阻止攻击者进一步行动,降低攻击影响。
2.4.4 横向移动:从立足点扩展到全网控制
在成功获得高权限后,APT攻击进入横向移动阶段,其核心目标是以已掌控的初始立足点为基础,逐步扩展控制范围,渗透到目标网络的更多系统和资源,从而全面掌握关键数据和环境信息。
攻击者通常会首先对网络进行扫描和分析,以绘制出完整的网络拓扑图,了解主机、服务、用户和资源之间的关系。他们可能借助工具如Nmap、BloodHound或自定义脚本,探测网络架构、域信任关系以及共享资源的分布情况。在明确目标后,攻击者会通过已窃取的高权限凭据或认证令牌,利用协议如RDP、SMB、SSH等,逐步访问并控制其他主机。
凭据重用攻击是横向移动中最常见的手段之一。通过利用已获取的管理员账户密码,攻击者可以轻松攻陷使用相同凭据的其他设备。传递哈希技术也常被使用,尤其是在域环境中,攻击者通过直接认证哈希值而非密码,绕过了许多安全防护机制。
在更加复杂的网络中,攻击者可能结合漏洞利用和信任关系滥用,进一步突破网络的隔离。例如,他们可能针对文件服务器、数据库或域控制器发起攻击,从而控制关键节点。与此同时,社会工程手段仍可能发挥作用,诱骗其他用户泄露敏感信息或执行恶意操作,为进一步扩展权限创造条件。
为了避免被检测,攻击者通常会伪装自己的活动。他们可能使用代理工具或加密隧道隐藏数据流量,或将恶意进程伪装成合法服务,以绕过安全系统的检测。攻击者还会清理或修改日志记录,掩盖横向移动的轨迹,进一步增强行动的隐蔽性。
完成横向移动后,攻击者通常已掌握整个网络的关键系统和资源,为最终的数据窃取、破坏或进一步的恶意活动打下坚实基础。由于这一阶段涉及广泛的网络活动,它既是攻击者全面渗透的关键环节,也是安全团队通过异常行为分析和权限使用监控发现威胁的最佳时机。
2.4.5 数据窃取与持久化:目标达成与长期控制
这一阶段的重点是对目标敏感信息进行系统化的搜集和转移,同时确保攻击者能够长期保持对目标系统的控制权,以便随时发起进一步的行动。
攻击者通常会对目标环境中的敏感数据进行深度挖掘,包括商业机密、个人隐私、知识产权、财务记录和政府文件等。在完成搜集后,他们会利用加密和压缩工具对数据进行预处理,以减小传输体积并规避安全监测。随后,通过安全的通信渠道(如加密的C2服务器、隐蔽隧道或云服务)将数据转移到攻击者的控制范围之外。
在数据窃取过程中,攻击者会采取各种手段隐藏其行为。例如,他们可能会将数据分批次、小规模地传输,以伪装成正常的网络流量。同时,通过伪造合法用户身份、修改日志记录或利用“无文件攻击”方式,攻击者能够有效规避入侵检测系统和流量监控工具。
同时,为了确保长期访问目标系统,攻击者会进行持久化操作。其常见手段包括:
- 植入后门:在系统中隐藏恶意程序,使其能够绕过安全更新和权限检查。
- 修改启动项:利用计划任务、服务或注册表键值,确保恶意代码在系统重启后仍能执行。
- 伪装合法工具:将恶意程序包装为常用软件或服务,以避免引起注意。
- 利用供应链:攻击者可能会在受害者依赖的第三方系统或软件中植入恶意代码,以便在必要时重新进入目标网络。
有时攻击者还会建立多个隐藏访问点,确保即使部分后门被清除,他们仍然能够通过其他途径重新控制系统。持久化不仅增强了攻击的隐蔽性,还为未来可能的多次利用奠定了基础。
数据窃取与持久化阶段标志着APT攻击的最终目标逐步实现,而攻击者对目标系统的持续控制也成为防御方面临的长期威胁。如果无法及时识别和清除攻击者留下的隐患,网络环境可能长期处于威胁之中,对信息安全构成严重风险。
2.4.6 逃逸与清理
攻击者进入系统时,以及进入后实施的操作都会在系统中留下痕迹,如被记录在日志中。为了不被发现和不被成功溯源,攻击者需要了解他的操作会留下哪些痕迹,并在执行攻击过程中和完成攻击后,尽可能删除所有犯罪痕迹,然后退出系统。攻击者会清除系统日志、删除痕迹文件、销毁恶意软件和后门工具,或对修改过的文件进行恢复,以掩盖其活动的轨迹。他们还可能修改或删除网络流量日志和系统事件日志,抹去任何可能暴露攻击过程的线索。
此外,攻击者会使用反取证技术来消除或混淆痕迹。例如,他们可能使用加密技术对其通信进行加密,确保数据传输过程中不会被第三方捕获或分析。攻击者还会针对可能暴露他们的恶意进程或服务,采取隐藏进程、伪装或注入等手段,避免反病毒软件和入侵检测系统检测到恶意活动。
清理工作完成后,攻击者通常会撤离目标系统,退出网络,确保他们的行动不再被检测。然而,尽管攻击者表面上“撤离”,他们可能会通过设立隐蔽的反向连接,随时准备再次入侵,尤其是在攻击者未完全达到目标时。
逃逸与清理阶段是APT攻击中的最后一道防线,标志着攻击者从目标系统中撤离,确保未被追踪和发现。如果防御方能够在这一阶段进行有效的反击并发现攻击的痕迹,便有可能追溯到攻击者的整个攻击链,及时封堵后门并强化网络安全防御。
2.5 APT攻击检测载体
APT攻击会在系统中留下痕迹, 现有研究方法利用不同信息载体检测APT攻击, 常用的数据有包括网络流量、恶意文件、日志和外部信息。
网络流量
APT攻击往往伴随着异常的网络流量,尤其是数据传输、远程连接、与外部C2服务器的通信等行为。通过分析网络流量,可以发现攻击者与目标之间的隐蔽通讯,尤其是在攻击者进行数据窃取或控制命令传输时,常常会有明显的流量异常,如不寻常的端口、协议或加密通信模式。恶意文件
APT攻击的许多工具和恶意软件通常会在目标系统中留下文件痕迹。这些恶意文件可以是植入的木马、后门、键盘记录器、勒索软件等。通过文件行为分析和反病毒技术,可以检测到这些恶意文件的存在。例如,异常的可执行文件、修改的系统文件或隐藏在正常应用程序中的恶意代码,都是潜在的攻击线索。日志
日志是系统和应用程序在运行过程中生成的重要记录,APT攻击往往会在日志中留下可疑的活动痕迹。攻击者可能会利用合法的账户发起攻击,或在系统中隐藏恶意活动,因此通过分析系统日志、应用日志、网络设备日志等,可以发现异常登录、权限提升、远程访问等异常行为。这种分析不仅有助于早期发现攻击,还能帮助追溯攻击过程和源头。外部信息
攻击者的活动不仅限于目标网络内部,很多时候,外部信息也是APT攻击的重要线索。分析公共数据源(如社交媒体、新闻报道、公司公告等)可以发现攻击者的社交工程攻击痕迹。针对目标的特定威胁情报和网络攻击报告,也可以帮助识别和阻止已知APT攻击模式的发生。
3. APT检测技术
APT攻击具有高度隐蔽性和持续性,传统的安全防御手段往往难以有效防范。为了应对APT攻击,研究人员提出了多种检测技术,包括行为分析、威胁情报、机器学习与深度学习、数据挖掘等。这些技术在不同层面和角度上对APT攻击进行检测和分析,为防御者提供了多种选择。
3.1 行为分析
行为分析是一种基于行为特征的检测技术,通过分析系统和网络中的异常行为,识别潜在的APT攻击。行为分析技术主要包括主机行为分析和网络行为分析两种。
3.1.1 主机行为分析
主机行为分析通过监控目标系统(如服务器、工作站等)的内部活动,捕捉异常的行为模式。这种方法关注主机上程序和用户的行为,通过对系统资源、文件操作、进程启动、网络连接等活动的分析,识别潜在的异常行为。主机行为分析可以检测到未授权的文件访问、恶意程序的执行、系统设置的更改、可疑的权限提升操作等。这种分析可以帮助识别攻击者在主机内的活动,如使用恶意代码进行数据窃取、篡改日志、植入后门等行为。
主机行为分析的优势在于,它可以深入到系统内部,识别出即使是经过隐蔽操作的恶意活动,具有较高的检测精度。然而,这也需要大量的数据处理和计算资源,并且对于复杂的攻击链,可能需要多次触发才能准确识别。
3.1.2 网络行为分析
网络行为分析是一种基于网络流量的检测技术,通过监控网络中的数据包、连接和通信模式,识别潜在的APT攻击。其侧重于通过监控和分析网络流量,检测异常的网络活动和通信模式。APT攻击中的许多活动,如数据窃取、命令与控制(C2)通信、横向移动等,都会产生特殊的网络行为。通过分析网络流量、协议使用情况、IP通信、端口访问等,网络行为分析能够发现攻击者与目标之间的异常流量模式。例如,攻击者可能会通过加密隧道、低频次的隐蔽流量等方式与外部C2服务器进行通信,或通过不常见的端口和协议发送数据。网络行为分析可以帮助识别这些异常的流量模式,从而及时发现攻击活动。
网络行为分析的优势在于可以对整个网络进行实时监控,并且能在较大范围内检测到攻击活动。然而,它对流量的分析能力依赖于网络设备的部署,且在某些加密或隐蔽通信手段下,可能存在一定的检测难度。
由于APT攻击常常是多阶段的、复杂的,结合主机行为分析和网络行为分析可以提供更全面的安全保障,增强对APT攻击的防御能力。
3.2 威胁情报
基于威胁情报的APT检测是一种通过分析和利用外部和内部威胁情报来识别和防范APT攻击的方法。APT攻击通常具有高度定制性和隐蔽性,因此,传统的基于签名的检测方法可能难以有效识别新型或变种的攻击。基于威胁情报的APT检测依赖于对已知攻击模式、攻击者工具、技术、程序(TTPs,Tactics, Techniques, and Procedures)的深刻理解,通过共享和集成威胁情报,帮助及时识别潜在的APT攻击。

威胁情报主要包括外部威胁情报和内部威胁情报两种。外部威胁情报是指来自第三方的关于已知攻击者、攻击组织、攻击工具、攻击技术等信息,如公开的威胁情报平台、安全厂商的威胁报告、黑客论坛的信息等。内部威胁情报是指来自内部网络和系统的关于异常行为、安全事件、日志记录等信息,如IDS/IPS、防火墙、终端安全软件等设备的报警信息。通过整合外部和内部威胁情报,可以帮助防御者更好地了解攻击者的行为模式、攻击手法和攻击目标,从而提高对APT攻击的检测和防范能力。
威胁情报的优势在于可以帮助防御者及时了解最新的攻击趋势和攻击手法,提前发现潜在的APT攻击。通过分析威胁情报,防御者可以识别攻击者的行为模式、攻击工具和攻击目标,从而制定相应的防御策略和安全措施。然而,威胁情报的有效性和准确性取决于信息的来源和质量,需要防御者具备一定的分析能力和判断力。
威胁情报的应用范围广泛,可以用于APT攻击的检测、威胁情报共享、攻击模拟和演练等多个方面。通过及时获取和分析威胁情报,防御者可以更好地了解攻击者的行为模式和攻击手法,提高对APT攻击的检测和防范能力。
3.3 机器学习与深度学习
机器学习和深度学习是基于数据驱动的APT攻击检测技术,它们通过训练模型从大量数据中自动学习特征,发现潜在的攻击模式,并进行预测。与传统的基于规则或签名的检测方法不同,机器学习和深度学习能够处理复杂、动态的数据,并在攻击模式尚未明确时提供检测能力。
机器学习通过算法从大量数据中自动学习并构建模型,能够识别数据中的潜在规律。它可以通过特征提取和模式识别,分析网络流量、主机日志和行为日志等数据源,帮助识别和预测攻击者的行为,通过监督学习算法对数据进行分类,判断某一行为是否为APT攻击,或预测攻击的潜在威胁级别。同时,基于无监督学习的异常检测技术可以发现与正常模式不同的行为,将其标记为异常并进一步验证是否为攻击。机器学习的优势在于模型的自适应性,能够根据新的攻击数据进行自我更新,增强系统对新型攻击的检测能力。随着训练数据的增加、模型的不断优化和计算资源的提升,机器学习有望在未来成为APT攻击检测的核心技术之一。
4. 挑战与展望
经过十余年的发展,APT攻击的技术手段愈发复杂和隐蔽,这使得检测和防御工作面临巨大的挑战。攻击者采用多样化的技术,包括零日漏洞利用、社会工程学、持久化后门等方式,不仅增加了攻击成功的可能性,还显著提高了检测难度。与此同时,各种面向APT攻击的检测技术不断涌现,并试图与日益成熟的APT攻击手段进行持续博弈。然而,从整体上看,APT检测研究仍处于起步阶段,当前的技术手段在实际应用中存在明显的局限性。
现有APT检测技术的局限性主要表现在以下几个方面。首先,检测方法依赖于大量高质量的数据,例如网络流量、日志信息、文件特征等,而APT攻击往往通过分布式、低频的行为隐藏在海量正常数据中,极大地增加了检测的复杂性。其次,APT攻击具有高度定制化的特性,不同的攻击场景和目标需要不同的检测策略,这对检测技术的灵活性和适应能力提出了更高要求。此外,现有检测技术在面对零日漏洞或未知攻击模式时,往往显得力不从心,容易产生误报或漏报,影响检测的实用性和准确性。最后,APT检测的实时性和资源消耗之间的矛盾也是需要解决的问题。特别是深度学习等技术虽然具有较强的检测能力,但通常需要高计算资源支持,这对实时检测和大规模部署提出了挑战。
尽管困难重重,APT检测技术的未来发展前景仍然值得期待。随着人工智能、大数据分析、威胁情报等领域的不断进步,APT检测技术有望突破当前的瓶颈。例如,利用强化学习等新兴方法,可以进一步提高检测模型的适应性和通用性,从而更好地应对定制化和多样化的攻击。此外,结合基于行为分析和威胁情报的检测方法,可以实现对APT攻击全生命周期的监控与识别,有效提升检测的覆盖面和精准度。
未来,APT检测技术的发展需要在多方面取得突破,包括建立标准化的数据集和评测体系,以提高模型训练和测试的可靠性;优化算法和模型结构,以平衡检测效率与资源消耗;加强跨学科合作,将多领域的最新成果引入APT检测研究中。同时,在技术研发的过程中,行业与政府应积极合作,共同推动APT检测生态系统的构建,从而在更大范围内实现对APT攻击的有效防御。APT检测研究虽仍在起步阶段,但通过技术创新与多方协作,有望在日益激烈的攻防博弈中占据主动地位。
5. 结论
高级持续性威胁(APT)以其隐蔽性、复杂性和高针对性,成为当今信息安全领域最严峻的挑战之一。APT攻击者通常是具备专业技术和丰富资源的组织,他们通过多种攻击手段实现对目标系统的长期控制。近年来频繁发生的APT攻击事件不仅给政府、企业等关键领域带来了严重的经济和信息安全损失,也充分暴露了传统安全防护技术在应对高级威胁时的不足。
传统的基于规则的检测技术,如防火墙、入侵检测系统和反病毒软件,主要依赖已知的攻击特征和行为模式,难以应对未知的APT攻击。为此,学术界和工业界逐渐探索并开发出更为先进的APT检测方法,包括行为分析、威胁情报和基于机器学习的技术。这些技术不仅可以发现隐藏的攻击行为,还能动态适应新的威胁模式。然而,APT检测技术的实施仍面临诸多挑战,包括高维数据处理、实时性要求以及对误报率的严格限制。
本文简述了APT的核心概念、特点和典型攻击模型,并系统分析了现有的检测技术及其局限性。在当前技术的基础上,我们认为未来的APT检测应注重以下方向:首先,融合多源威胁情报,构建更全面的检测模型;其次,结合深度学习与解释性技术,提高检测模型的透明度和可操作性;最后,加强人机协作,将自动化检测与专家判断有机结合,进一步提升APT检测的准确性与效率。
随着APT攻击形式的不断演变,APT检测技术的研究需要更加注重动态性、前瞻性和实践性。通过持续改进和优化,我们相信APT检测技术将在保障信息系统安全、维护数字经济发展方面发挥更为关键的作用。